有機膦酸鹽
己二胺四甲叉膦酸鉀鹽?HMDTMPA?K6
CAS No.38820-59-6(X-6) 53473-28-2(6-K)
Hexamethy lenediaminetetra(methy lenephosphonicacid) ,Potassium salt
CAS No.38820-59-6(X-6) 53473-28-2(6-K)
別名:己二胺四亞甲基膦酸鉀鹽 Dequet 2054
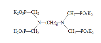
分子式:C10H22N2O12P4·K6 相對分子質量:721
結構式:
一、產品性能
HDTMPA·K6是HDTMPA鉀鹽水溶液,在水中具有很高的溶解度。
二、技術指標
|
項 目 |
指 標 |
|
外 觀 |
無色至微黃色透明液體 |
|
活性組分(以HDTMPA計),% ≥ |
21.2 |
|
活性組分(以HDTMPA·K6計),% ≥ |
31.2 |
|
總磷(以PO43-計),% |
16.8~18.8 |
|
氯化物(以Cl-計),% ≤ |
4.0 |
|
pH值(1%水溶液) |
6.0~8.0 |
|
密度(20℃),g/cm3 |
1.21~1.31 |
|
Fe(以Fe2+計)含量,mg/L ≤ |
35.0 |
三、應用范圍與使用方法
HDTMPA·K6可阻止水中成垢鹽類形成水垢,是良好的硫酸鈣阻垢劑,尤其適用高堿高pH值條件。HDTMPA·K6特別適應于海上采油、鍋爐水處理、反滲透膜的處理。
四、包裝與儲存
HMDTMPA·K6塑料桶包裝,每桶30Kg或250Kg,也可根據用戶需要確定。貯于室內陰涼處,貯存期十個月。
五、安全與防護
HDTMPA·K6為中性,應避免與眼睛、皮膚接觸,接觸后應立即用大量清水沖洗(至少15分鐘)。
錄入時間:2014/7/15 11:09:12 點擊次數:6787
