有機膦酸鹽
乙二胺四甲叉膦酸五鈉??EDTMP?Na5
CAS NO. 7651-99-2?
Ethylene Diamine Tetra (Methylene Phosphonic Acid) Pentasodium salt
【CAS】 7651—99—2 Dequest:2046
分子式: C6H15O12N2P4?Na5 相對分子質量:546.03
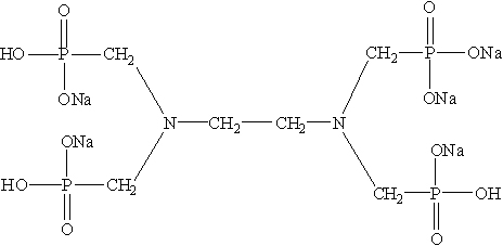
結構式:
一、產品性能
EDTMP?Na5是中性產品,EDTMP?Na5 是含氮有機多元膦酸鹽,屬陰極型緩蝕劑。能與水混溶,無毒無污染,化學穩定性及耐溫性好,在200℃下仍有良好的阻垢效果。在水溶液中能離解成8個正負離子,因而可以多個金屬離子螯合,形成多個單體結構大分子網狀絡合物,松散地分散于水中,使鈣垢正常結晶破壞。
二、技術指標
|
項 目 |
指 標(HG/T4329-2012) |
|
外 觀 |
琥珀色透明液體 |
|
活性組分(以EDTMPA計),% |
24.0~26.0 |
|
活性組分(以EDTMP·Na5計),% |
30.0~32.6 |
|
pH值(1%水溶液) |
6.0~8.0 |
|
pH值(原液) |
6.0~8.0 |
|
密度(20℃),g/cm3 ≥ |
1.25 |
|
Fe(以Fe2+計)含量,mg/L ≤ |
10.0 |
|
氯化物(以Cl-計),% ≤ |
2.0 |
三、應用范圍與使用方法
EDTMP鈉鹽對硫酸鈣、硫酸鋇垢的阻垢效果好。
EDTMP?Na5用于循環水和鍋爐水的緩蝕阻垢劑、無氰電鍍的絡合劑、印染工業軟水劑、電廠冷卻水處理等。
四、包裝與貯存
EDTMP?Na5液體為塑料桶包裝,每桶25Kg或250Kg。貯于室內陰涼、干燥處,防潮。貯存期十個月。
五、安全防護
EDTMP?Na5為中性,應避免與眼睛、皮膚接觸,接觸后應立即用大量清水沖洗(至少15分鐘)。
錄入時間:2016/1/6 9:42:59 點擊次數:6378
